ОТВЕТ на задание № 316 Учебник по Алгебре 7 класс Мерзляк Алгоритм успеха Базовый уровень
Условия
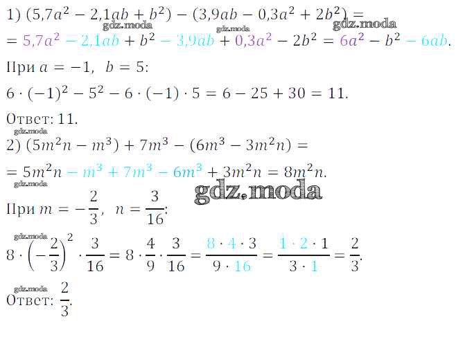
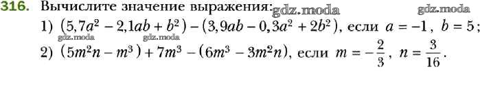
упражнение / 316

Решебник №1
упражнение / 316


Решебник №2
упражнение / 316

Решебник №3
упражнение / 316

Решебник №4
упражнение / 316

Решебник №5
упражнение / 316

Все ГДЗ по Алгебре 7 класс Алгоритм успеха