ОТВЕТ на задание № 318 Учебник по Алгебре 7 класс Мерзляк Алгоритм успеха Базовый уровень
Условия
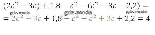
упражнение / 318

Решебник №1
упражнение / 318

Решебник №2
упражнение / 318

Решебник №3
упражнение / 318

Решебник №4
упражнение / 318

Решебник №5
упражнение / 318

Все ГДЗ по Алгебре 7 класс Алгоритм успеха