ОТВЕТ на задание № 334 Учебник по Алгебре 7 класс Мерзляк Алгоритм успеха Базовый уровень
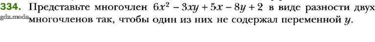
Условия
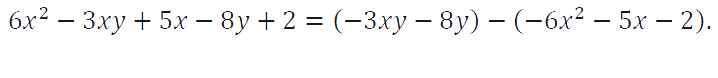
упражнение / 334

Решебник №1
упражнение / 334

Решебник №2
упражнение / 334

Решебник №4
упражнение / 334


Решебник №5
упражнение / 334

Все ГДЗ по Алгебре 7 класс Алгоритм успеха