ОТВЕТ на задание № 338 Учебник по Алгебре 7 класс Мерзляк Алгоритм успеха Базовый уровень
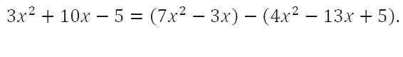
Условия
упражнение / 338

Решебник №1
упражнение / 338

Решебник №2
упражнение / 338

Решебник №4
упражнение / 338

Решебник №5
упражнение / 338

Все ГДЗ по Алгебре 7 класс Алгоритм успеха