ОТВЕТ на задание № 365 Учебник по Алгебре 7 класс Мерзляк Алгоритм успеха Базовый уровень
Условия
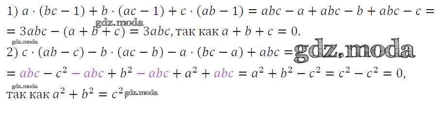
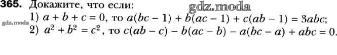
упражнение / 365

Решебник №1
упражнение / 365


Решебник №2
упражнение / 365

Решебник №3
упражнение / 365

Решебник №4
упражнение / 365

Решебник №5
упражнение / 365

Все ГДЗ по Алгебре 7 класс Алгоритм успеха