ОТВЕТ на задание № 37 Учебник по Алгебре 7 класс Мерзляк Алгоритм успеха Базовый уровень
Условия
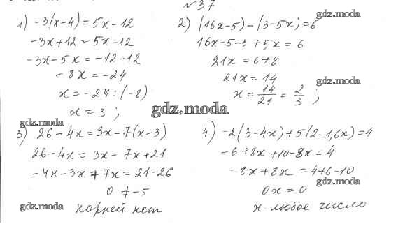
упражнение / 37

Решебник №1
упражнение / 37


Решебник №2
упражнение / 37

Решебник №3
упражнение / 37

Решебник №4
упражнение / 37

Решебник №5
упражнение / 37

Все ГДЗ по Алгебре 7 класс Алгоритм успеха