ОТВЕТ на задание № 376 Учебник по Алгебре 7 класс Мерзляк Алгоритм успеха Базовый уровень
Условия
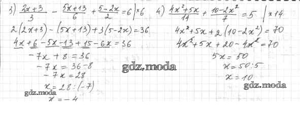
упражнение / 376

Решебник №1
упражнение / 376

Решебник №2
упражнение / 376

Решебник №4
упражнение / 376


Решебник №5
упражнение / 376

Все ГДЗ по Алгебре 7 класс Алгоритм успеха