ОТВЕТ на задание № 40 Учебник по Алгебре 7 класс Мерзляк Алгоритм успеха Базовый уровень
Условия
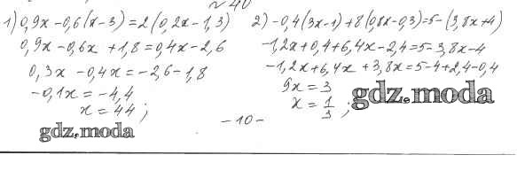
упражнение / 40

Решебник №1
упражнение / 40


Решебник №2
упражнение / 40

Решебник №3
упражнение / 40

Решебник №4
упражнение / 40


Решебник №5
упражнение / 40

Все ГДЗ по Алгебре 7 класс Алгоритм успеха