ОТВЕТ на задание № 447 Учебник по Алгебре 7 класс Мерзляк Алгоритм успеха Базовый уровень
Условия
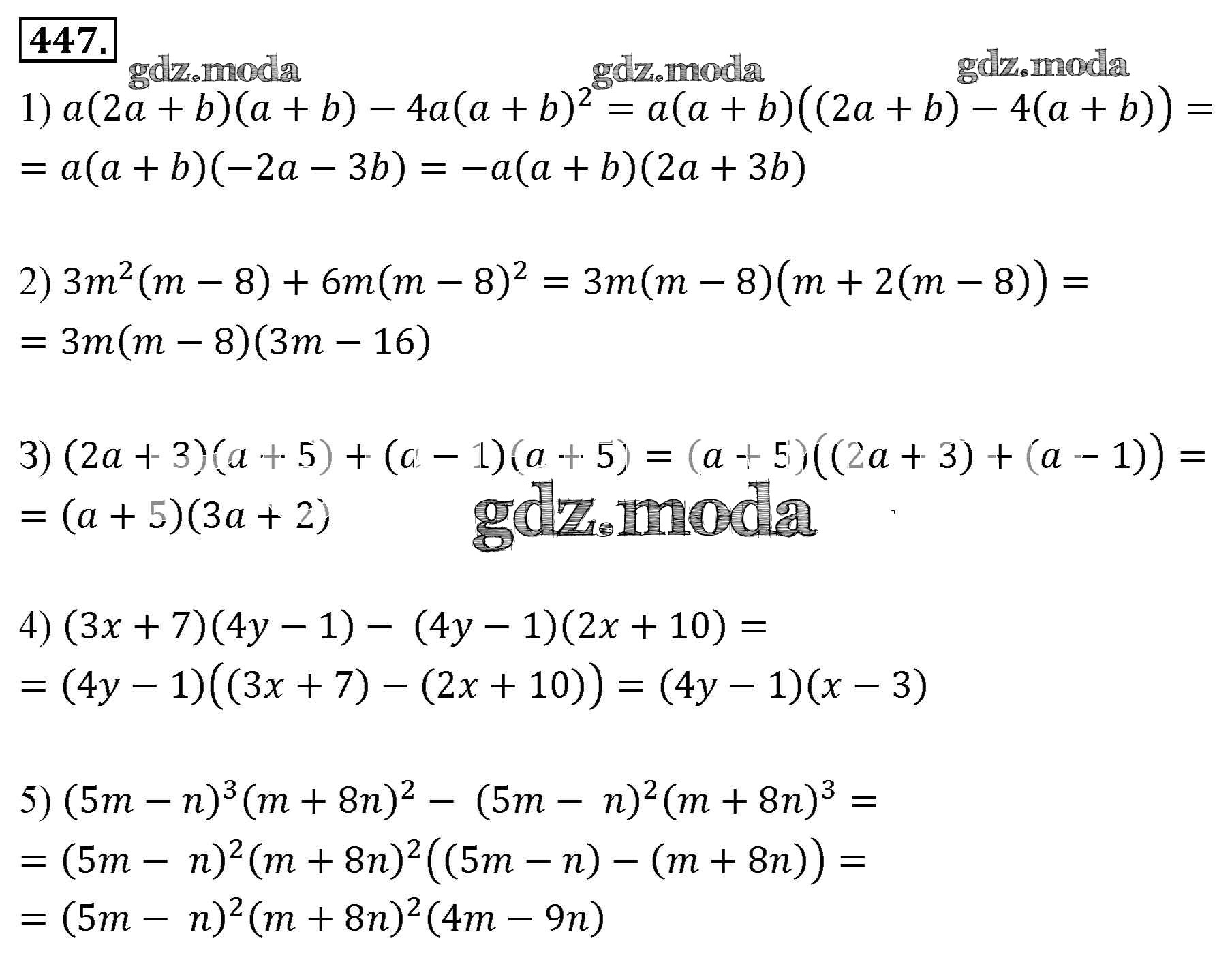
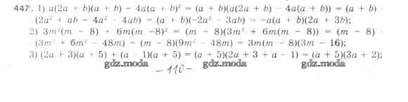
упражнение / 447

Решебник №1
упражнение / 447


Решебник №2
упражнение / 447

Решебник №4
упражнение / 447


Решебник №5
упражнение / 447

Все ГДЗ по Алгебре 7 класс Алгоритм успеха