ОТВЕТ на задание № 449 Учебник по Алгебре 7 класс Мерзляк Алгоритм успеха Базовый уровень
Условия
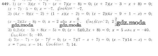
упражнение / 449

Решебник №1
упражнение / 449

Решебник №2
упражнение / 449

Решебник №4
упражнение / 449

Решебник №5
упражнение / 449

Все ГДЗ по Алгебре 7 класс Алгоритм успеха