ОТВЕТ на задание № 466 Учебник по Алгебре 7 класс Мерзляк Алгоритм успеха Базовый уровень
Условия
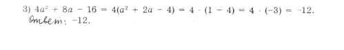
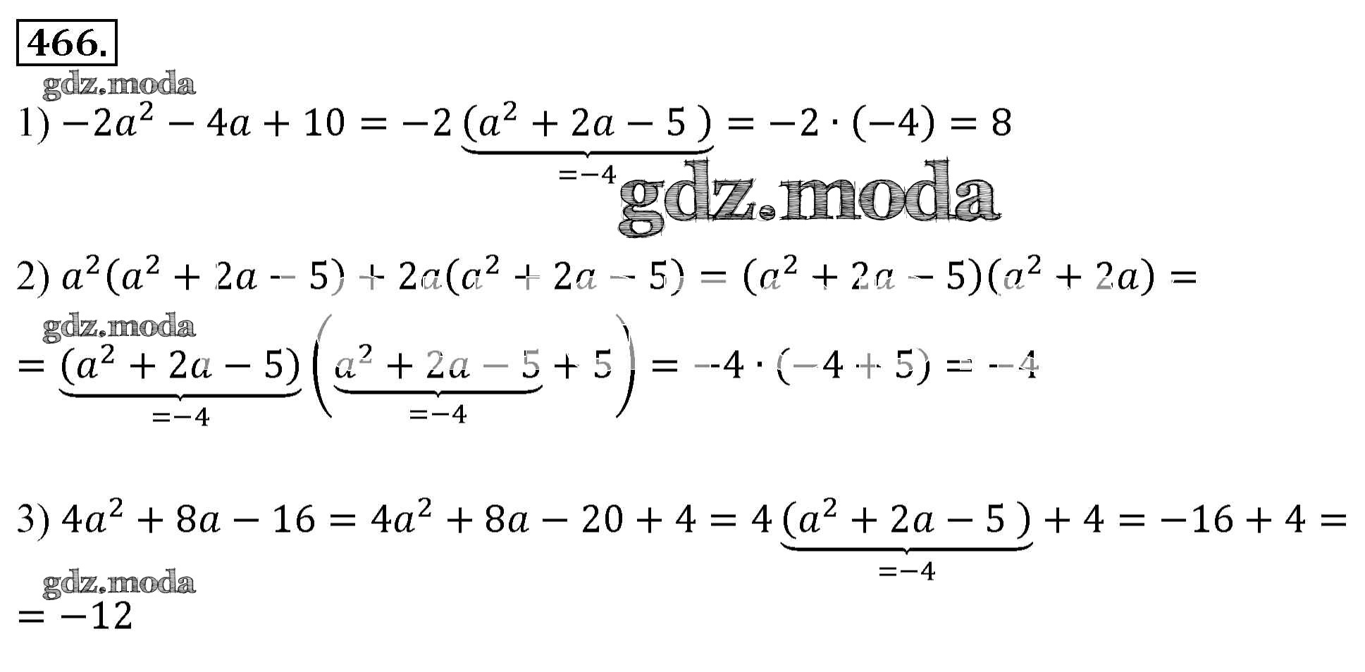
упражнение / 466

Решебник №1
упражнение / 466

Решебник №2
упражнение / 466

Решебник №4
упражнение / 466


Решебник №5
упражнение / 466

Все ГДЗ по Алгебре 7 класс Алгоритм успеха