ОТВЕТ на задание № 468 Учебник по Алгебре 7 класс Мерзляк Алгоритм успеха Базовый уровень
Условия
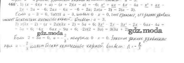
упражнение / 468

Решебник №1
упражнение / 468


Решебник №2
упражнение / 468

Решебник №3
упражнение / 468

Решебник №4
упражнение / 468

Решебник №5
упражнение / 468

Все ГДЗ по Алгебре 7 класс Алгоритм успеха