ОТВЕТ на задание № 477 Учебник по Алгебре 7 класс Мерзляк Алгоритм успеха Базовый уровень
Условия
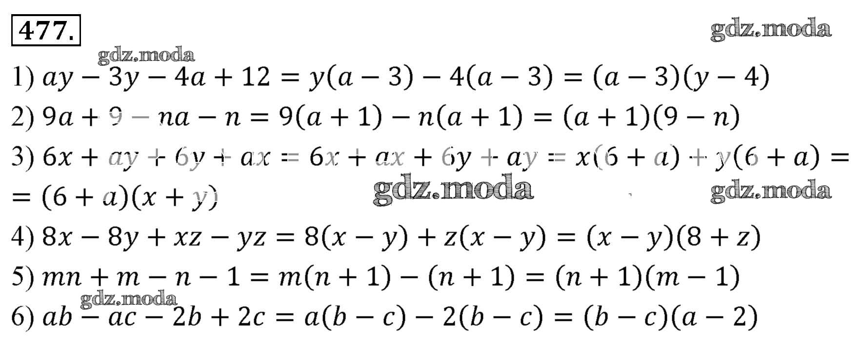
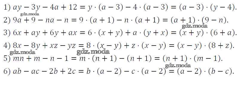
упражнение / 477

Решебник №1
упражнение / 477

Решебник №2
упражнение / 477

Решебник №4
упражнение / 477


Решебник №5
упражнение / 477

Все ГДЗ по Алгебре 7 класс Алгоритм успеха