ОТВЕТ на задание № 51 Учебник по Алгебре 7 класс Мерзляк Алгоритм успеха Базовый уровень
Условия
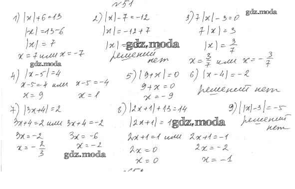
упражнение / 51

Решебник №1
упражнение / 51


Решебник №2
упражнение / 51

Решебник №3
упражнение / 51

Решебник №4
упражнение / 51

Решебник №5
упражнение / 51

Все ГДЗ по Алгебре 7 класс Алгоритм успеха