ОТВЕТ на задание № 530 Учебник по Алгебре 7 класс Мерзляк Алгоритм успеха Базовый уровень
Условия
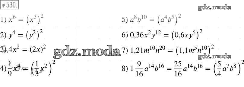
упражнение / 530

Решебник №1
упражнение / 530

Решебник №2
упражнение / 530

Решебник №3
упражнение / 530

Решебник №5
упражнение / 530

Все ГДЗ по Алгебре 7 класс Алгоритм успеха