ОТВЕТ на задание № 535 Учебник по Алгебре 7 класс Мерзляк Алгоритм успеха Базовый уровень
Условия
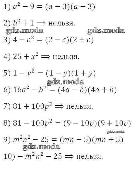
упражнение / 535

Решебник №1
упражнение / 535

Решебник №2
упражнение / 535

Решебник №3
упражнение / 535

Решебник №5
упражнение / 535

Все ГДЗ по Алгебре 7 класс Алгоритм успеха