ОТВЕТ на задание № 537 Учебник по Алгебре 7 класс Мерзляк Алгоритм успеха Базовый уровень
Условия
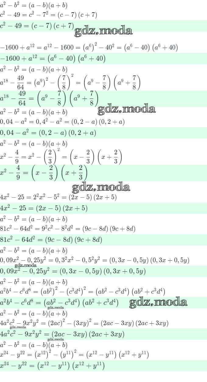
упражнение / 537

Решебник №1
упражнение / 537

Решебник №2
упражнение / 537

Решебник №3
упражнение / 537

Решебник №5
упражнение / 537

Все ГДЗ по Алгебре 7 класс Алгоритм успеха