ОТВЕТ на задание № 540 Учебник по Алгебре 7 класс Мерзляк Алгоритм успеха Базовый уровень
Условия
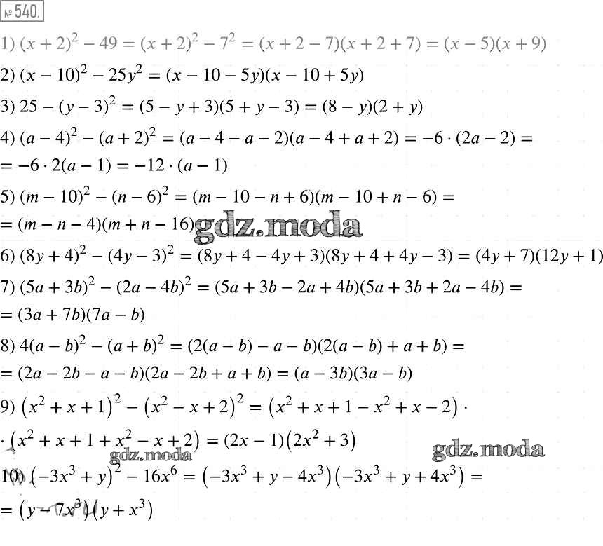
упражнение / 540

Решебник №1
упражнение / 540


Решебник №2
упражнение / 540

Решебник №3
упражнение / 540

Решебник №5
упражнение / 540

Все ГДЗ по Алгебре 7 класс Алгоритм успеха