ОТВЕТ на задание № 543 Учебник по Алгебре 7 класс Мерзляк Алгоритм успеха Базовый уровень
Условия
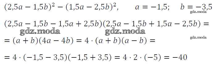
упражнение / 543

Решебник №1
упражнение / 543

Решебник №2
упражнение / 543

Решебник №3
упражнение / 543

Решебник №5
упражнение / 543

Все ГДЗ по Алгебре 7 класс Алгоритм успеха