ОТВЕТ на задание № 569 Учебник по Алгебре 7 класс Мерзляк Алгоритм успеха Базовый уровень
Условия
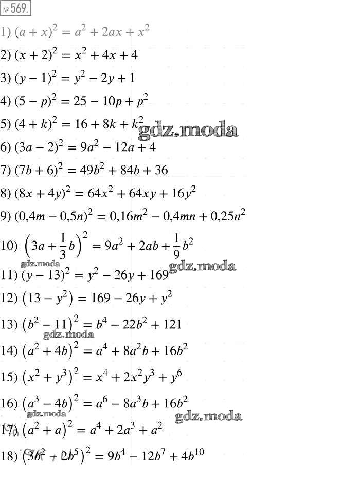
упражнение / 569

Решебник №1
упражнение / 569


Решебник №2
упражнение / 569

Решебник №3
упражнение / 569

Решебник №5
упражнение / 569

Все ГДЗ по Алгебре 7 класс Алгоритм успеха