ОТВЕТ на задание № 596 Учебник по Алгебре 7 класс Мерзляк Алгоритм успеха Базовый уровень
Условия
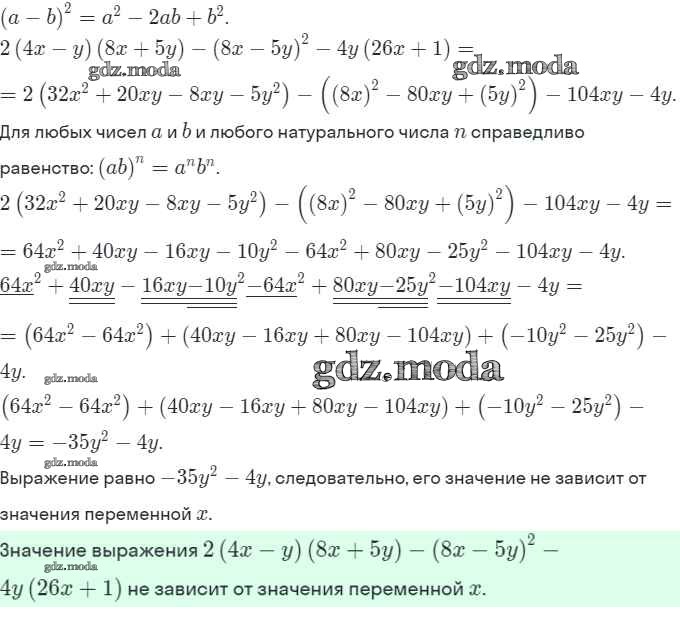
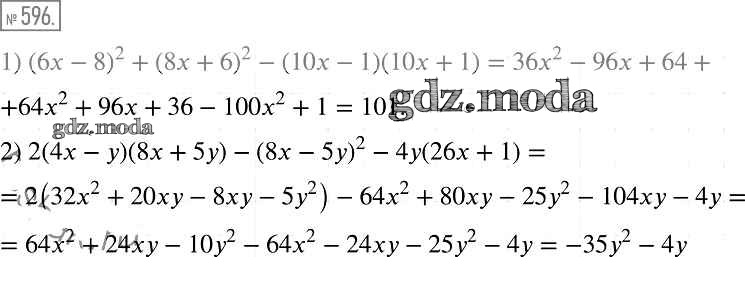
упражнение / 596

Решебник №1
упражнение / 596

Решебник №2
упражнение / 596

Решебник №3
упражнение / 596

Решебник №5
упражнение / 596

Все ГДЗ по Алгебре 7 класс Алгоритм успеха