ОТВЕТ на задание № 599 Учебник по Алгебре 7 класс Мерзляк Алгоритм успеха Базовый уровень
Условия
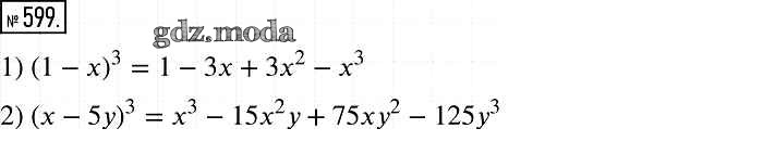
упражнение / 599

Решебник №1
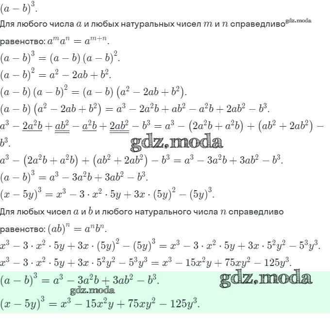
упражнение / 599

Решебник №2
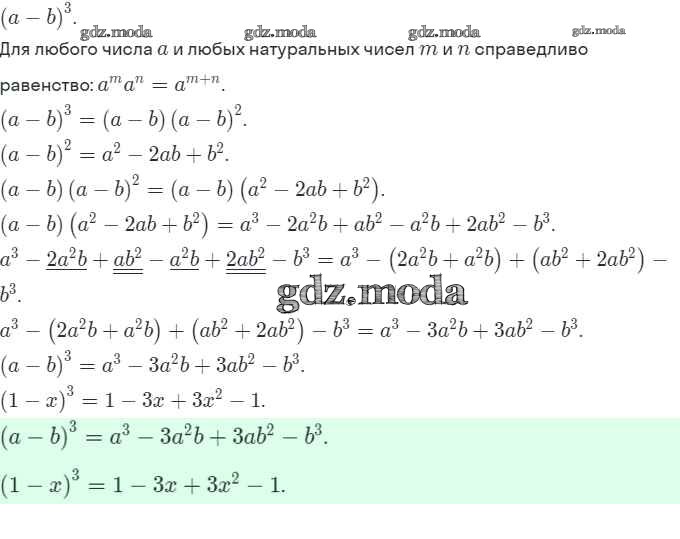
упражнение / 599

Решебник №3
упражнение / 599

Решебник №5
упражнение / 599

Все ГДЗ по Алгебре 7 класс Алгоритм успеха