ОТВЕТ на задание № 626 Учебник по Алгебре 7 класс Мерзляк Алгоритм успеха Базовый уровень
Условия
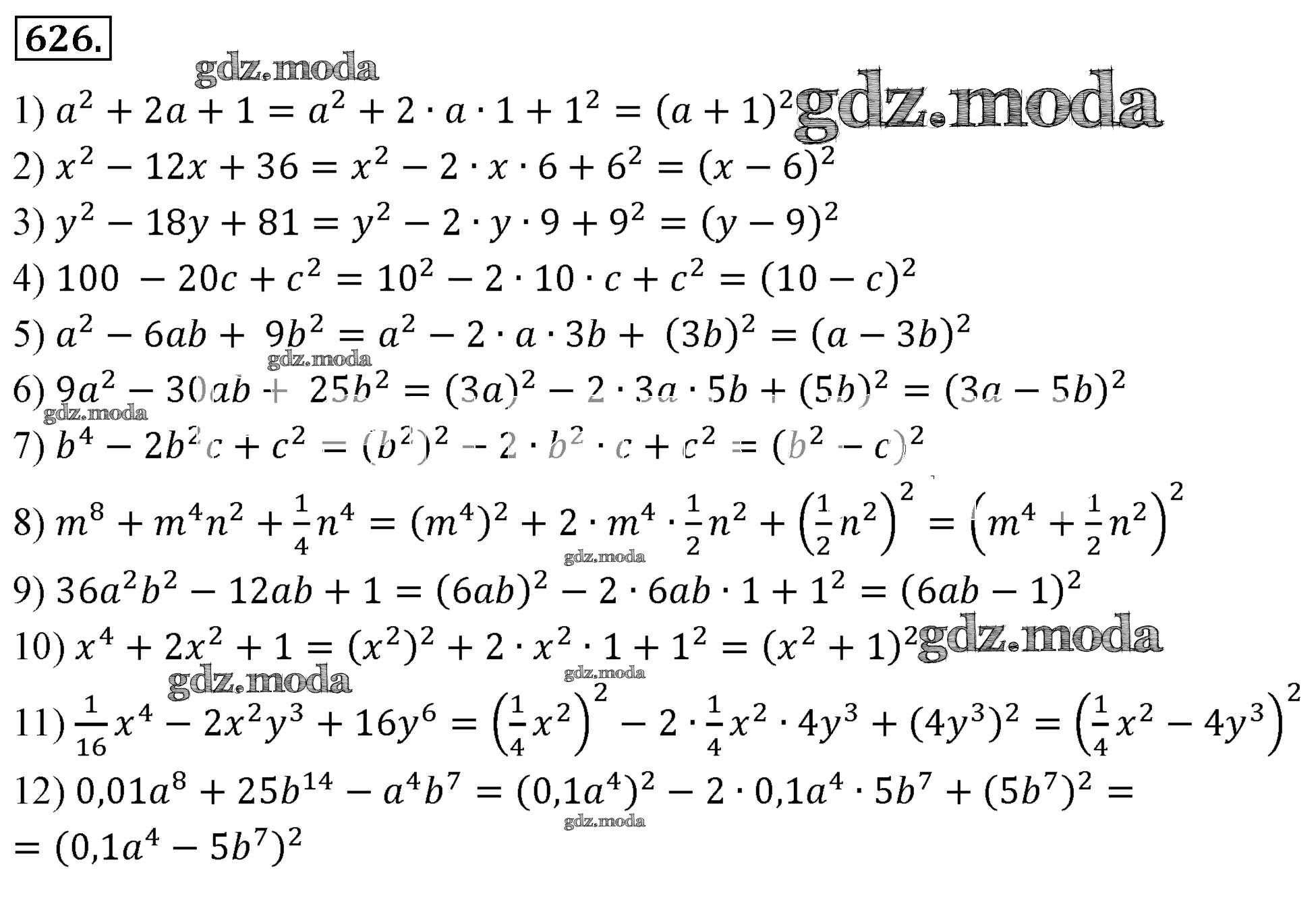
упражнение / 626

Решебник №1
упражнение / 626

Решебник №2
упражнение / 626

Решебник №5
упражнение / 626

Все ГДЗ по Алгебре 7 класс Алгоритм успеха