ОТВЕТ на задание № 64 Учебник по Алгебре 7 класс Мерзляк Алгоритм успеха Базовый уровень
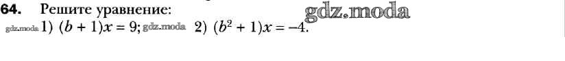
Условия
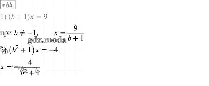
упражнение / 64

Решебник №1
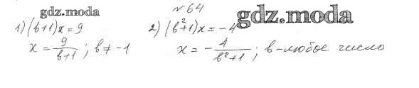
упражнение / 64

Решебник №2
упражнение / 64

Решебник №3
упражнение / 64

Решебник №4
упражнение / 64

Решебник №5
упражнение / 64

Все ГДЗ по Алгебре 7 класс Алгоритм успеха