ОТВЕТ на задание № 644 Учебник по Алгебре 7 класс Мерзляк Алгоритм успеха Базовый уровень
Условия
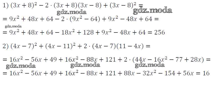
упражнение / 644

Решебник №1
упражнение / 644

Решебник №2
упражнение / 644

Решебник №5
упражнение / 644

Все ГДЗ по Алгебре 7 класс Алгоритм успеха