ОТВЕТ на задание № 665 Учебник по Алгебре 7 класс Мерзляк Алгоритм успеха Базовый уровень
Условия
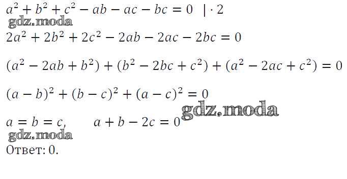
упражнение / 665

Решебник №1
упражнение / 665

Решебник №2
упражнение / 665

Решебник №5
упражнение / 665

Все ГДЗ по Алгебре 7 класс Алгоритм успеха