ОТВЕТ на задание № 683 Учебник по Алгебре 7 класс Мерзляк Алгоритм успеха Базовый уровень
Условия
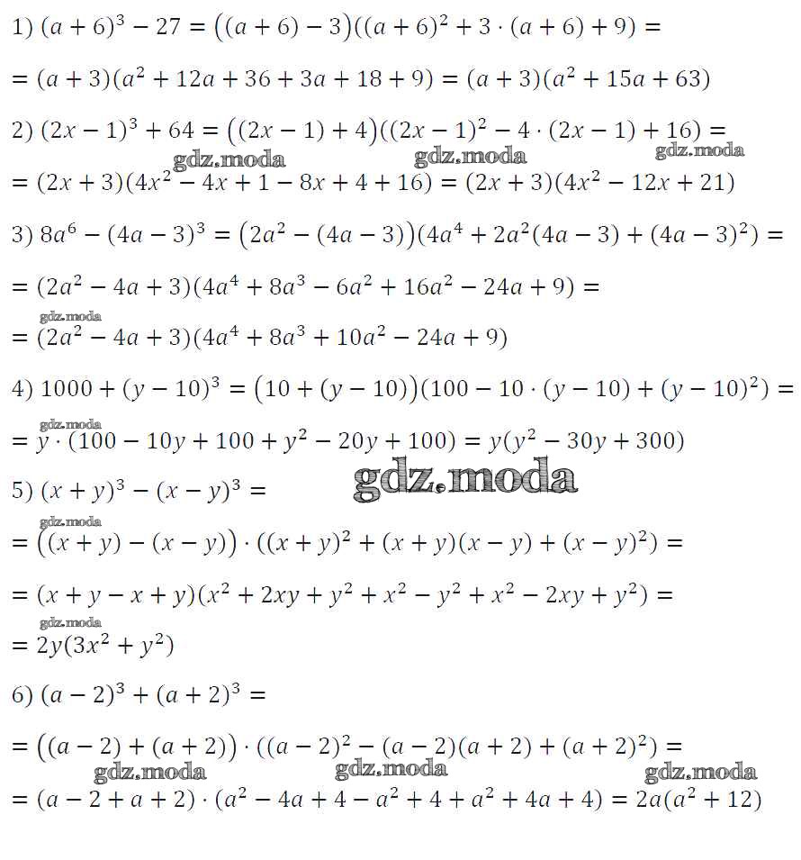
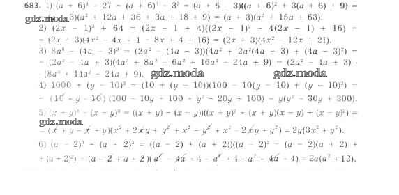
упражнение / 683

Решебник №1
упражнение / 683

Решебник №2
упражнение / 683

Решебник №4
упражнение / 683

Решебник №5
упражнение / 683

Все ГДЗ по Алгебре 7 класс Алгоритм успеха