ОТВЕТ на задание № 691 Учебник по Алгебре 7 класс Мерзляк Алгоритм успеха Базовый уровень
Условия
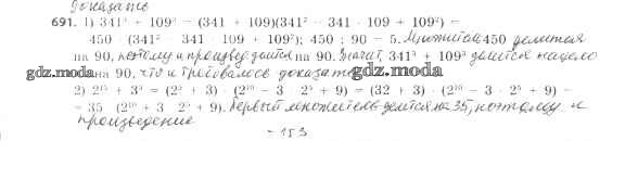
упражнение / 691

Решебник №1
упражнение / 691

Решебник №2
упражнение / 691

Решебник №4
упражнение / 691


Решебник №5
упражнение / 691

Все ГДЗ по Алгебре 7 класс Алгоритм успеха