ОТВЕТ на задание № 693 Учебник по Алгебре 7 класс Мерзляк Алгоритм успеха Базовый уровень
Условия
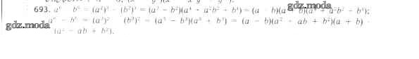
упражнение / 693

Решебник №1
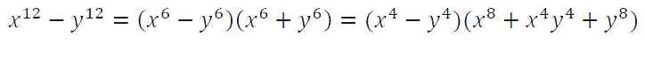
упражнение / 693

Решебник №2
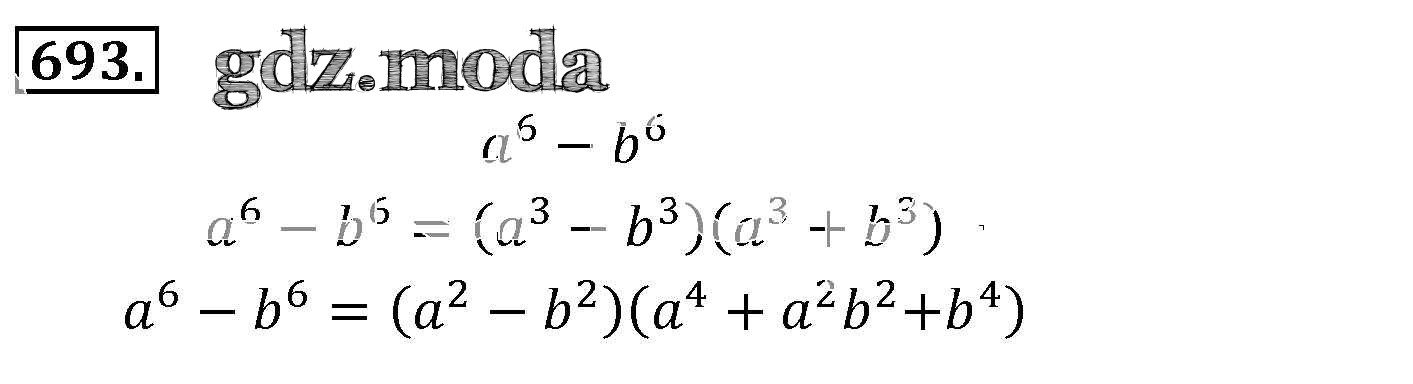
упражнение / 693

Решебник №3
упражнение / 693

Решебник №4
упражнение / 693

Решебник №5
упражнение / 693

Все ГДЗ по Алгебре 7 класс Алгоритм успеха