ОТВЕТ на задание № 704 Учебник по Алгебре 7 класс Мерзляк Алгоритм успеха Базовый уровень
Условия
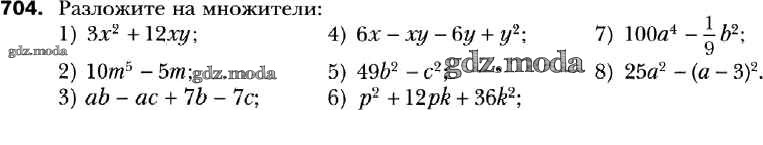
упражнение / 704

Решебник №1
упражнение / 704


Решебник №2
упражнение / 704

Решебник №4
упражнение / 704

Решебник №5
упражнение / 704

Все ГДЗ по Алгебре 7 класс Алгоритм успеха