ОТВЕТ на задание № 71 Учебник по Алгебре 7 класс Мерзляк Алгоритм успеха Базовый уровень
Условия
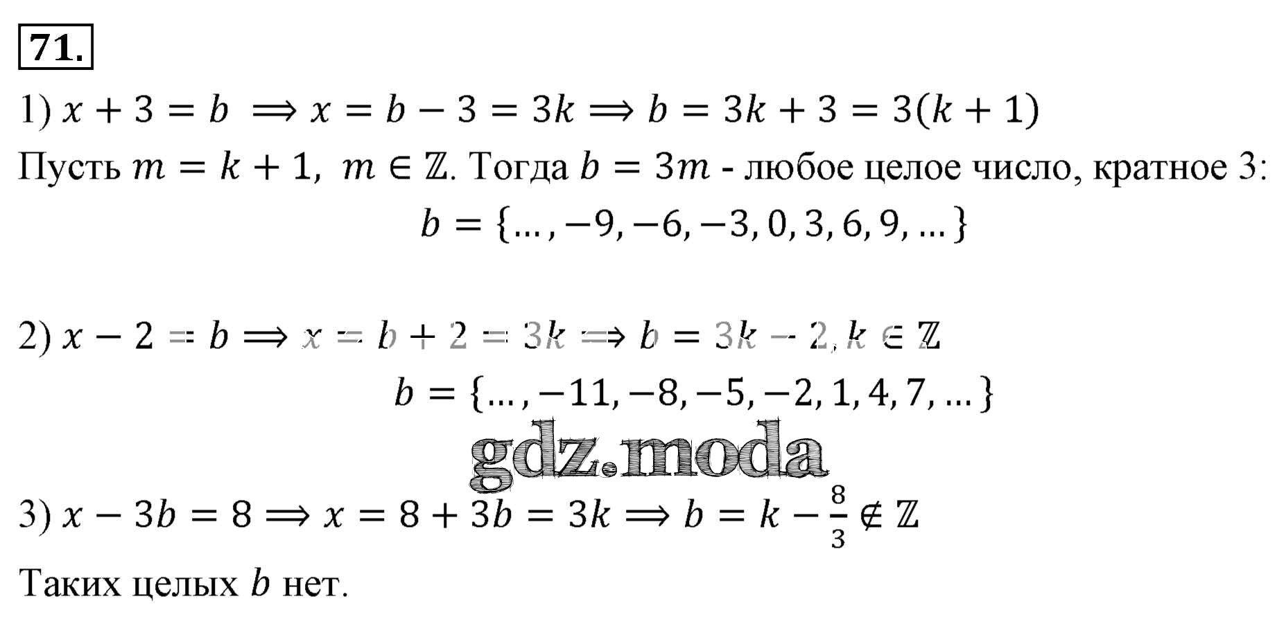
упражнение / 71

Решебник №1
упражнение / 71


Решебник №2
упражнение / 71

Решебник №3
упражнение / 71

Решебник №4
упражнение / 71


Решебник №5
упражнение / 71

Все ГДЗ по Алгебре 7 класс Алгоритм успеха