ОТВЕТ на задание № 713 Учебник по Алгебре 7 класс Мерзляк Алгоритм успеха Базовый уровень
Условия
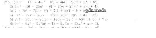
упражнение / 713

Решебник №1
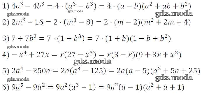
упражнение / 713

Решебник №2
упражнение / 713

Решебник №4
упражнение / 713

Решебник №5
упражнение / 713

Все ГДЗ по Алгебре 7 класс Алгоритм успеха