ОТВЕТ на задание № 717 Учебник по Алгебре 7 класс Мерзляк Алгоритм успеха Базовый уровень
Условия
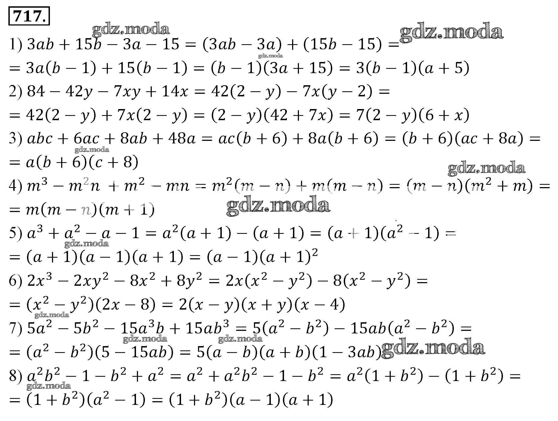
упражнение / 717

Решебник №1
упражнение / 717


Решебник №2
упражнение / 717

Решебник №4
упражнение / 717


Решебник №5
упражнение / 717

Все ГДЗ по Алгебре 7 класс Алгоритм успеха