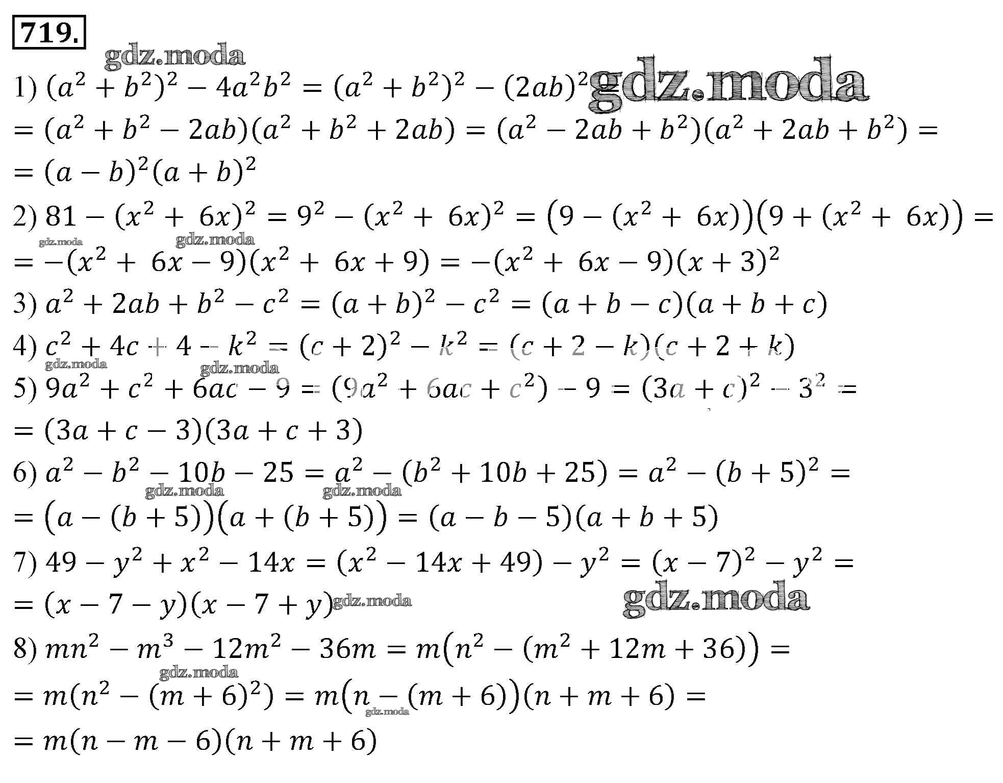
ОТВЕТ на задание № 719 Учебник по Алгебре 7 класс Мерзляк Алгоритм успеха Базовый уровень
Условия
упражнение / 719

Решебник №1
упражнение / 719


Решебник №2
упражнение / 719

Решебник №4
упражнение / 719

Решебник №5
упражнение / 719

Все ГДЗ по Алгебре 7 класс Алгоритм успеха