ОТВЕТ на задание № 722 Учебник по Алгебре 7 класс Мерзляк Алгоритм успеха Базовый уровень
Условия
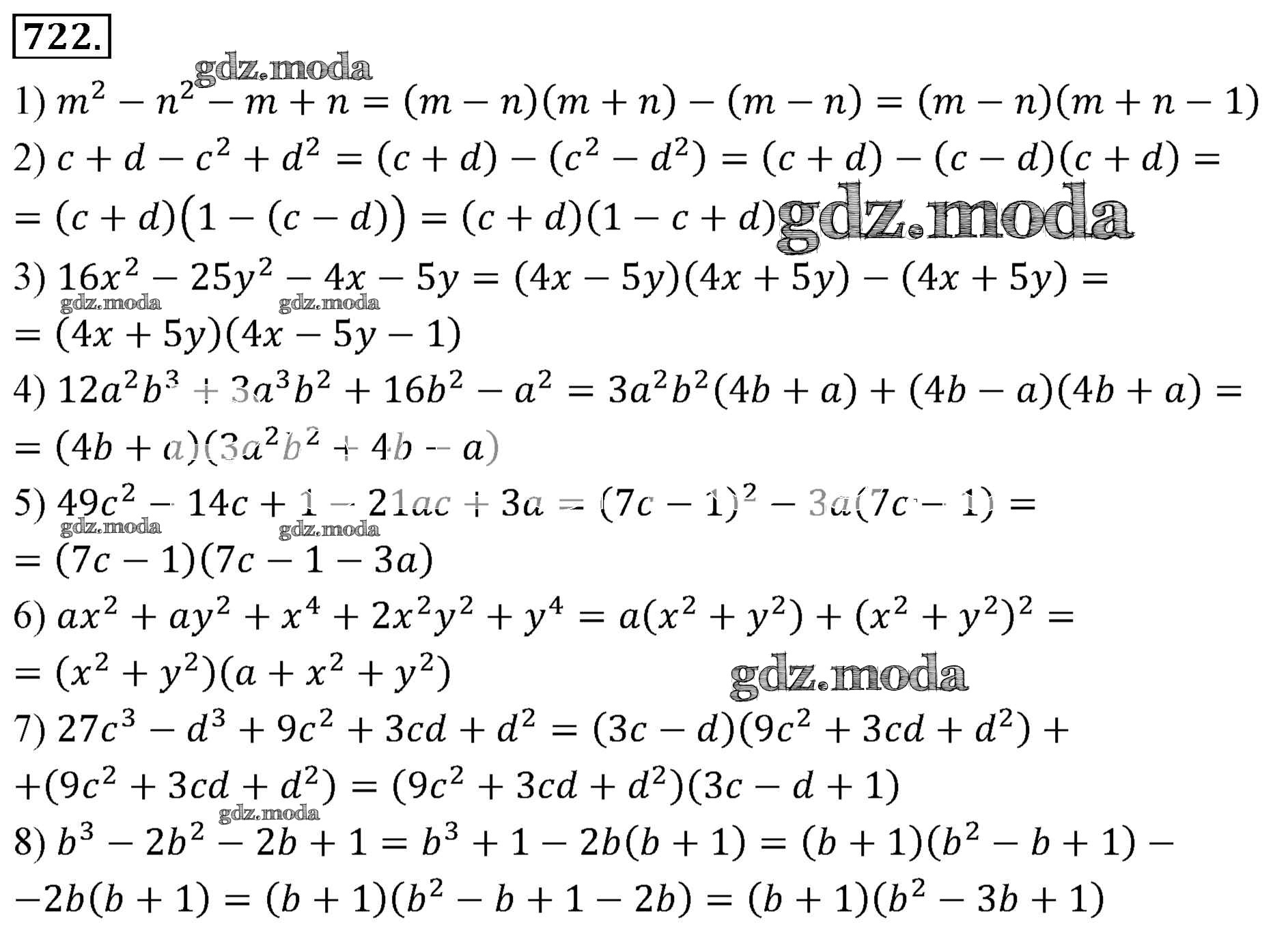
упражнение / 722

Решебник №1
упражнение / 722


Решебник №2
упражнение / 722

Решебник №4
упражнение / 722


Решебник №5
упражнение / 722

Все ГДЗ по Алгебре 7 класс Алгоритм успеха