ОТВЕТ на задание № 726 Учебник по Алгебре 7 класс Мерзляк Алгоритм успеха Базовый уровень
Условия
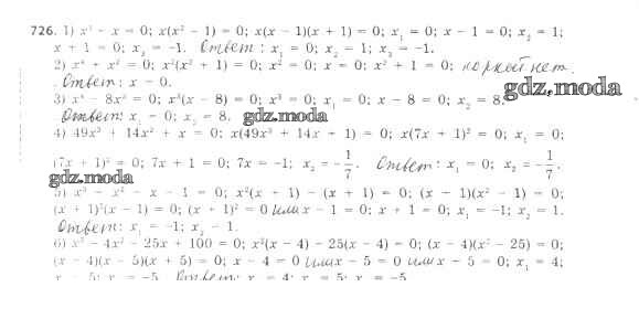
упражнение / 726

Решебник №1
упражнение / 726


Решебник №2
упражнение / 726

Решебник №4
упражнение / 726

Решебник №5
упражнение / 726

Все ГДЗ по Алгебре 7 класс Алгоритм успеха