ОТВЕТ на задание № 728 Учебник по Алгебре 7 класс Мерзляк Алгоритм успеха Базовый уровень
Условия
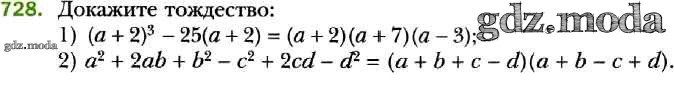
упражнение / 728

Решебник №1
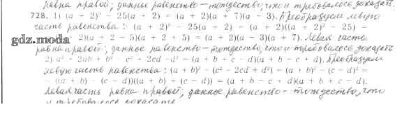
упражнение / 728


Решебник №2
упражнение / 728

Решебник №4
упражнение / 728

Решебник №5
упражнение / 728

Все ГДЗ по Алгебре 7 класс Алгоритм успеха