ОТВЕТ на задание № 730 Учебник по Алгебре 7 класс Мерзляк Алгоритм успеха Базовый уровень
Условия
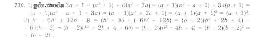
упражнение / 730

Решебник №1
упражнение / 730

Решебник №2
упражнение / 730

Решебник №4
упражнение / 730

Решебник №5
упражнение / 730

Все ГДЗ по Алгебре 7 класс Алгоритм успеха