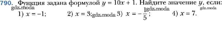
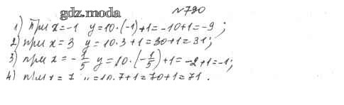
ОТВЕТ на задание № 790 Учебник по Алгебре 7 класс Мерзляк Алгоритм успеха Базовый уровень
Условия
упражнение / 790

Решебник №1
упражнение / 790

Решебник №2
упражнение / 790

Решебник №3
упражнение / 790

Решебник №4
упражнение / 790

Решебник №5
упражнение / 790

Все ГДЗ по Алгебре 7 класс Алгоритм успеха