ОТВЕТ на задание № 794 Учебник по Алгебре 7 класс Мерзляк Алгоритм успеха Базовый уровень
Условия
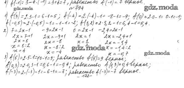
упражнение / 794

Решебник №1
упражнение / 794


Решебник №2
упражнение / 794

Решебник №4
упражнение / 794

Решебник №5
упражнение / 794

Все ГДЗ по Алгебре 7 класс Алгоритм успеха