ОТВЕТ на задание № 805 Учебник по Алгебре 7 класс Мерзляк Алгоритм успеха Базовый уровень
Условия
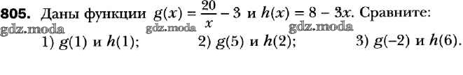
упражнение / 805

Решебник №1
упражнение / 805


Решебник №2
упражнение / 805

Решебник №4
упражнение / 805

Решебник №5
упражнение / 805

Все ГДЗ по Алгебре 7 класс Алгоритм успеха