ОТВЕТ на задание № 813 Учебник по Алгебре 7 класс Мерзляк Алгоритм успеха Базовый уровень
Условия
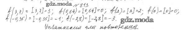
упражнение / 813

Решебник №1
упражнение / 813

Решебник №2
упражнение / 813

Решебник №3
упражнение / 813

Решебник №4
упражнение / 813

Решебник №5
упражнение / 813

Все ГДЗ по Алгебре 7 класс Алгоритм успеха