ОТВЕТ на задание № 816 Учебник по Алгебре 7 класс Мерзляк Алгоритм успеха Базовый уровень
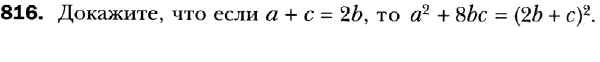
Условия
упражнение / 816

Решебник №1
упражнение / 816

Решебник №2
упражнение / 816

Решебник №3
упражнение / 816

Решебник №4
упражнение / 816

Решебник №5
упражнение / 816

Все ГДЗ по Алгебре 7 класс Алгоритм успеха