ОТВЕТ на задание № 842 Учебник по Алгебре 7 класс Мерзляк Алгоритм успеха Базовый уровень
Условия
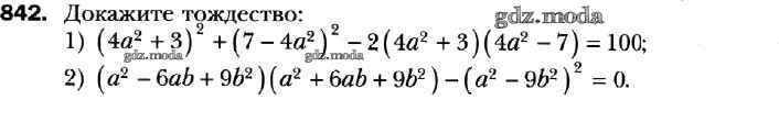
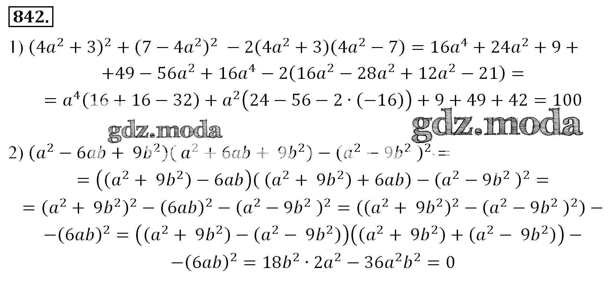
упражнение / 842

Решебник №1
упражнение / 842


Решебник №2
упражнение / 842

Решебник №4
упражнение / 842

Решебник №5
упражнение / 842

Все ГДЗ по Алгебре 7 класс Алгоритм успеха