ОТВЕТ на задание № 888 Учебник по Алгебре 7 класс Мерзляк Алгоритм успеха Базовый уровень
Условия
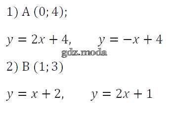
упражнение / 888

Решебник №1
упражнение / 888


Решебник №2
упражнение / 888

Решебник №3
упражнение / 888

Решебник №4
упражнение / 888

Решебник №5
упражнение / 888

Все ГДЗ по Алгебре 7 класс Алгоритм успеха