ОТВЕТ на задание № 904 Учебник по Алгебре 7 класс Мерзляк Алгоритм успеха Базовый уровень
Условия
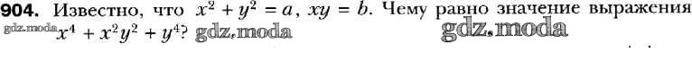
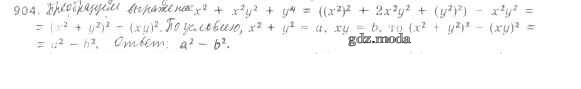
упражнение / 904

Решебник №1
упражнение / 904

Решебник №2
упражнение / 904

Решебник №4
упражнение / 904

Решебник №5
упражнение / 904

Все ГДЗ по Алгебре 7 класс Алгоритм успеха