ОТВЕТ на задание № 906 Учебник по Алгебре 7 класс Мерзляк Алгоритм успеха Базовый уровень
Условия
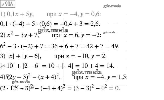
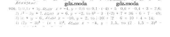
упражнение / 906

Решебник №1
упражнение / 906

Решебник №2
упражнение / 906

Решебник №3
упражнение / 906

Решебник №4
упражнение / 906

Решебник №5
упражнение / 906

Все ГДЗ по Алгебре 7 класс Алгоритм успеха