ОТВЕТ на задание № 909 Учебник по Алгебре 7 класс Мерзляк Алгоритм успеха Базовый уровень
Условия
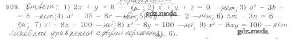
упражнение / 909

Решебник №1
упражнение / 909

Решебник №2
упражнение / 909

Решебник №3
упражнение / 909

Решебник №4
упражнение / 909

Решебник №5
упражнение / 909

Все ГДЗ по Алгебре 7 класс Алгоритм успеха