ОТВЕТ на задание № 935 Учебник по Алгебре 7 класс Мерзляк Алгоритм успеха Базовый уровень
Условия
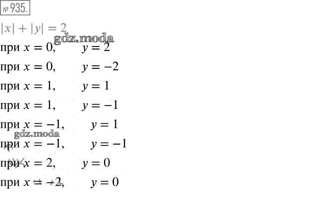
упражнение / 935

Решебник №1
упражнение / 935


Решебник №2
упражнение / 935

Решебник №3
упражнение / 935

Решебник №4
упражнение / 935

Решебник №5
упражнение / 935

Все ГДЗ по Алгебре 7 класс Алгоритм успеха