ОТВЕТ на задание № 941 Учебник по Алгебре 7 класс Мерзляк Алгоритм успеха Базовый уровень
Условия
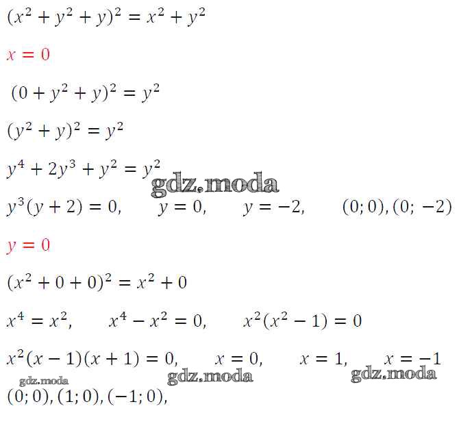
упражнение / 941

Решебник №1
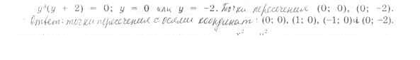
упражнение / 941


Решебник №2
упражнение / 941

Решебник №3
упражнение / 941

Решебник №4
упражнение / 941


Решебник №5
упражнение / 941

Все ГДЗ по Алгебре 7 класс Алгоритм успеха